Navy Electricity and Electronics Training Series, NAVEDTRA 14176


|
MIL-W-22759 |
||||||||||||||
|
M22759 |
/16 |
- |
22 |
- |
9 |
Example: 22 gauge white aircraft wire |
||||||||
|
(1) |
(2) |
(3) |
(4) |
|||||||||||
|
(1) |
Base P/N |
|||||||||||||
|
(2) |
Specification Sheet |
|||||||||||||
|
(3) |
Conductor Size |
|||||||||||||
|
(4) |
Insulation Color |
|||||||||||||
|
(2) SPECIFICATION SHEET SUMMARY |
||||||||||||||
|
SPEC |
INSULATION TYPE |
CONDUCTOR TYPE |
VOLTAGE |
TEMP |
M27500 |
|||||||||
|
RATING |
RATING |
TYPE |
||||||||||||
|
/5 |
Extruded Mineral Filled PTFE |
Silver Plated Copper |
600 Volts |
200°C |
VA |
|||||||||
|
/6 |
Extruded Mineral Filled PTFE |
Nickel Plated Copper |
600 Volts |
260°C |
WA |
|||||||||
|
/7 |
Extruded Mineral Filled PTFE |
Silver Plated Copper |
600 Volts |
200°C |
SA |
|||||||||
|
/8 |
Extruded Mineral Filled PTFE |
Nickel Plated Copper |
600 Volts |
260°C |
TA |
|||||||||
|
/9 |
Extruded PTFE (teflon) |
Silver Plated Copper |
1000 Volts |
200°C |
LE |
|||||||||
|
/10 |
Extruded PTFE (teflon) |
Nickel Plated Copper |
1000 Volts |
260°C |
LH |
|||||||||
|
/11 |
Extruded PTFE (teflon) |
Silver Plated Copper |
600 Volts |
200°C |
RC |
|||||||||
|
/12 |
Extruded PTFE (teflon) |
Nickel Plated Copper |
600 Volts |
260°C |
RE |
|||||||||
|
/16 |
Extruded ETFE (tefzel) |
Tin Plated Copper |
600 Volts |
150°C |
TE |
|||||||||
|
/17 |
Extruded ETFE (tefzel) |
Silver Plated High Strength Copper Alloy |
600 Volts |
150°C |
TF |
|||||||||
|
/18 |
Extruded ETFE (tefzel) |
Tin Plated Copper |
600 Volts |
150°C |
TG |
|||||||||
|
/19 |
Extruded ETFE (tefzel) |
Silver Plated High Strength Copper Alloy |
600 Volts |
150°C |
TH |
|||||||||
|
/20 |
Extruded PTFE (teflon) |
Silver Plated High Strength Copper Alloy |
1000 Volts |
200°C |
TK |
|||||||||
|
/21 |
Extruded PTFE (teflon) |
Nickel Plated High Strength Copper Alloy |
1000 Volts |
260°C |
TL |
|||||||||
|
/22 |
Extruded PTFE (teflon) |
Silver Plated High Strength Copper Alloy |
600 Volts |
200°C |
TM |
|||||||||
|
/23 |
Extruded PTFE (teflon) |
Nickel Plated High Strength Copper Alloy |
600 Volts |
260°C |
TN |
|||||||||
|
/28 |
Extruded PTFE w/ polymide hardcoat |
Silver Plated Copper |
600 Volts |
200°C |
JB |
|||||||||
|
/29 |
Extruded PTFE w/ polymide hardcoat |
Nickel Plated Copper |
600 Volts |
260°C |
JC |
|||||||||
|
/30 |
Extruded PTFE w/ polymide hardcoat |
Silver Plated High Strength Copper Alloy |
600 Volts |
200°C |
JD |
|||||||||
|
/31 |
Extruded PTFE w/ polymide hardcoat |
Nickel Plated High Strength Copper Alloy |
600 Volts |
260°C |
JE |
|||||||||
|
/32 |
|
|
|
|
|
|
|
|
|
|
|
|
|
|
|
/33 |
Crosslinked ETFE (tefzel) |
Silver Plated High Strength Copper Alloy |
600 Volts |
200°C |
|
|||||||||
|
/44 |
Crosslinked ETFE (tefzel) |
Silver Coated Copper |
600 Volts |
200°C |
|
|||||||||
|
(3) Conductor |
||||||||||||||
|
Size |
||||||||||||||
|
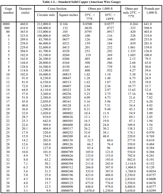
American Wire Gauge (AWG) wire size |
||||||||||||||
|
(4) Color |
||||||||||||||
|
Code |
COLOR |
|||||||||||||
|
0 |
black |
|||||||||||||
|
1 |
brown |
|||||||||||||
|
2 |
red |
|||||||||||||
|
3 |
orange |
|||||||||||||
|
4 |
yellow |
|||||||||||||
|
5 |
blue |
|||||||||||||
|
6 |
green |
|||||||||||||
|
7 |
purple |
|||||||||||||
|
8 |
gray |
|||||||||||||
|
9 |
white |
|||||||||||||
|
Specificaiton MIL-W-27500 |
|||||||
|
M27500 |
- |
20 |
SB |
3 |
T |
23 |
|
|
(1) |
(2) |
(3) |
(4) |
(5) |
(6) |
(7) |
|
|
(1) |
Base P/N |
||||||
|
(2) |
Color Coding and Shielding Coverage |
||||||
|
(3) |
Conductor Size (AWG) |
||||||
|
(4) |
Base Specification |
||||||
|
(5) |
Number of Conductors |
||||||
|
(6) |
Shield Type |
||||||
|
(7) |
Outer Jacket |
||||||
|
(3) Conductor |
|||||||
|
Size |
|||||||
|
American Wire Gauge (AWG) wire size |
|||||||
|
(4) Base Specification |
|||||||
|
|
|||||||
|
See M22759 for common specificaitons |
|||||||
|
COAX CABLE |
||||||||
|
# |
Z |
Attn. / 100' (dB) |
Velocity |
Dielectric |
VMAX |
OD |
||
|
|
(ohm) |
@ 500 MHz |
@ 1 GHz |
% |
Material |
(rms Kv) |
(in) |
|
|
RG6U |
75 |
1.5 |
11 |
78 |
FPE |
0.6 |
0.270 |
|
|
RG8U |
52 |
1.2 |
9 |
66 |
PE |
5 |
0.405 |
|
|
RG8U |
50 |
1.1 |
|
78 |
PE |
0.6 |
0.405 |
|
|
RG8X |
50 |
|
13.5 |
|
|
2.5 |
|
|
|
RG11U |
75 |
1.3 |
9 |
66 |
PE |
5 |
0.405 |
|
|
RG11U |
75 |
1 |
|
78 |
foam |
0.6 |
0.405 |
|
|
RG55B/U |
53.5 |
|
16.5 |
|
|
1.9 |
0.206 |
|
|
RG58U |
53 |
3.1 |
20 |
66 |
PE |
1.9 |
0.195 |
|
|
RG58U |
50 |
3.2 |
|
78 |
foam |
0.2 |
0.195 |
|
|
RG59U |
73 |
2.4 |
11.5 |
66 |
PE |
2 |
0.242 |
|
|
RG62U |
93 |
1.9 |
8.5 |
8 |
air/PE |
0.7 |
0.140 |
|
|
GR59U |
75 |
2.1 |
|
78 |
foam |
0.3 |
0.242 |
|
|
RG71U |
93 |
1.9 |
8.5 |
84 |
air/PE |
0.7 |
0.250 |
|
|
RG108A/U |
78 |
|
26.2 |
|
|
1 |
|
|
|
RG122U |
50 |
4.5 |
29.2 |
66 |
PE |
1.9 |
|
|
|
RG140U |
75 |
|
13 |
|
|
2.3 |
|
|
|
RG141U |
50 |
2.1 |
13 |
69 |
teflon |
1.9 |
|
|
|
RG142U |
50 |
2.7 |
13 |
69 |
teflon |
1.9 |
0.159 |
|
|
RG178U |
50 |
10.5 |
45 |
69 |
teflon |
1 |
0.071 |
|
|
RG179U |
75 |
8.5 |
25 |
69 |
teflon |
1.2 |
0.100 |
|
|
RG180U |
95 |
4.6 |
16.5 |
69 |
teflon |
1.5 |
0.140 |
|
|
RG187U |
75 |
8.5 |
25 |
69 |
teflon |
1.2 |
0.105 |
|
|
RG188U |
50 |
9.6 |
30 |
69 |
teflon |
1.2 |
0.106 |
|
|
RG196U |
50 |
10.5 |
45 |
69 |
teflon |
1.2 |
0.076 |
|
|
RG303U |
50 |
2.1 |
13 |
69 |
teflon |
1.9 |
|
|
|
RG302U |
75 |
|
13 |
|
|
2.3 |
|
|
|
RG316U |
50 |
9.4 |
30 |
69 |
teflon |
1.2 |
0.098 |
|
|
RG393U |
50 |
|
7.5 |
|
|
5 |
0.390 |
|
|
RG400U |
50 |
|
13 |
|
|
1.9 |
|
|
|
RG401U |
50 |
|
7.5 |
|
semi rigid |
3 |
|
|
|
RG402U |
50 |
|
13 |
|
semi rigid |
2.5 |
|
|
|
RG405U |
50 |
|
22 |
|
semi rigid |
2 |
|
|
|
RG174U |
50 |
6.6 |
31 |
66 |
PE |
1.5 |
0.100 |
|
|
RG210U |
93 |
|
3.1 |
|
|
0.75 |
|
|
|
RG213U |
50 |
1.6 |
9 |
66 |
PE |
5 |
0.405 |
|
|
RG214U |
50 |
1.6 |
9 |
66 |
PE |
5 |
0.425 |
|
|
RG217U |
50 |
|
5.8 |
|
|
7 |
0.545 |
|
|
RG218U |
50 |
|
3.8 |
|
1 |
1 |
|
|
|
RG219U |
50 |
|
3.8 |
|
1 |
1 |
|
|
|
RG223U |
50 |
3.1 |
16.5 |
66 |
1 |
1.9 |
0.212 |
|
|
RG225U |
50 |
|
7.5 |
|
|
5 |
|
|
|
RG9U |
51 |
1.6 |
|
66 |
1 |
5 |
|
|
|
Ethernet |
50 |
1.2 |
|
78 |
foam |
0.6 |
|
|
|
22B/U |
95 tw pr. |
2.1 |
|
66 |
PE |
|
|
|
|
twin lead |
300 |
0.8 - worse when wet |
80 |
PE |
|
|
||
|
8281 |
75 |
|
9.2 |
|
|
2.9 |
|
|
|
9913 |
50 |
|
4.5 |
|
|
0.6 |
|
|
|
9914 |
50 |
|
6 |
|
|
0.6 |
|
|
|
8218 |
75 |
|
20 |
|
|
0.6 |
|
|
Wire Insulation
|
Type |
Trade Name |
Name |
Comments |
Min. T (°C) |
Max. T (°C) |
Abrasion |
Flexibility |
Moisture |
Flammability |
Outgassing |
Weight |
Radiation |
Cold Flow |
Dielectric constant |
|
|
|
|
Silicone Rubber |
Excellent high voltage corona resistance |
-55 |
200 |
Poor |
Excellent |
|
Poor |
Poor |
|
Good |
Good |
|
|
|
PVC |
|
Polyvinyl chloride |
Low cost |
-29 |
105 |
Good |
Good |
Fair |
Good |
|
|
|
|
|
|
|
ETFE |
Tefzel |
Ethylene Tetrafluoroethylene |
Other Brand Names: Fluon by Asahi Glass Company , Neoflon ETFE by Daikin,and Texlon by Vector Foiltec. |
-100 |
150 |
Fair |
Good |
Good |
Fair |
Good |
|
1e6 |
Fair |
|
|
|
Crosslinked ETFE |
Tefzel |
Ethylene Tetrafluoroethylene |
Better abrasion resistance than ETFE, but not quight as good of thermal |
|
200 |
Good |
Fair |
|
Fair |
Good |
|
5e7 |
Good |
|
|
|
|
PTFE |
Teflon |
Polytetrafluoroethylene |
Teflon® is DuPont's trademark for its family of fluoropolymer resins which includes PTFE, FEP and PFA. The name is sometimes erroneously used to denote PTFE only. |
-190 |
260 |
Poor |
Excellent |
Good |
Excellent |
Good |
Poor |
5e5 |
Poor |
|
|
FEP |
Teflon |
Fluorinated ethylene propylene |
-100 |
205 |
Poor |
Excellent |
Good |
Excellent |
Good |
Poor |
5e5 |
Poor |
|
||
|
PFA |
Teflon |
Perfluoroalkoxy |
-190 |
260 |
|
|
|
|
|
|
|
|
|
||
|
TFE |
Teflon |
Extruded Tetrafluoroethylene |
Same as PTFE |
-190 |
260 |
|
|
|
|
|
|
|
|
|
|
|
PE |
|
Polyethylene |
|
|
75 |
|
|
|
|
|
|
|
|
|
|
|
XLPE |
|
Crosslinked Modified Polyethylene |
|
|
125 |
|
|
|
|
|
|
|
|
|
|
|
XLPO |
|
Low Smoke, Crosslinked Polyolefin |
|
|
105 |
|
|
|
|
|
|
|
|
|
|
|
EPDM |
|
Ethylene-Propylene Diene Elastomer |
|
|
125 |
|
|
|
|
|
|
|
|
|
|
|
API |
Kapton |
Aromatic Polyimide |
becomes brittle and cracks easily, prolonged exposure to moisture causes deterioration, susceptible to arc tracking. |
-65 |
200 |
Good |
Poor |
Poor |
|
Good |
Excellent |
5e9 |
Excellent |
|
|
|
Polyamide |
Nylon |
|
Serves as a tough jacket but can absorb moisture |
-40 |
120 |
Excellent |
Poor |
Poor |
Poor |
|
|
|
|
|
End